钟祥新宇机电制造股份有限公司——中国大型振动电机生产基地!
热线电话:
13339777620
加入收藏>>
设为首页>>
联系我们>>
网站首页
关于我们
新闻中心
振动电机
振动机械
质量体系
服务与支持
联系我们
当前位置:
主页
>
振动机械
>
振动筛分机械
>
YA系列圆振筛
时间:2019/04/27 来源:钟祥电机 点击:163
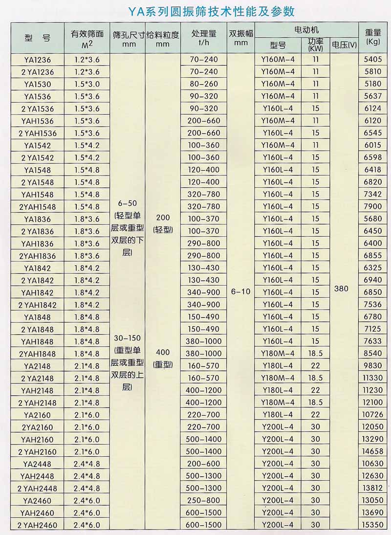
YA系列圆振筛是一种运动轨迹为圆的筛分设备,该机采用国外先进技术设计而成,具有技术参数先进,振动强度大,处理能力大,筛分效率高等特点,适合于选矿、选煤、建材、电力及化工等部门作物料分级使用。
该系列振动筛具有结构先进、坚固耐用、噪音低、维修方便等特点。该系列圆振筛有多种规格型号可供选择,同时可根据用户要求设计单层或多层结构,筛网结构也多样化,有冲孔筛板、铸钢筛板、聚氨酯筛板、编织筛网等,应用广泛,适应性强。
上一条:
HFK型可翻转弧形筛
下一条:
YSC系列圆振筛
【返回上页】
电话:0724-4225766 联系人:张经理 手机:13339777620
地址:钟祥市经济开发区西环二路8号
版权:钟祥新宇机电制造股份有限公司
ICP备案:
鄂ICP备09012154号-5
技术支持:钟祥快网科技